Skip to main content
Contents
Dark Mode Prev Up Next Profile
\(
\newcommand{\lt}{<}
\newcommand{\gt}{>}
\newcommand{\amp}{&}
\definecolor{fillinmathshade}{gray}{0.9}
\newcommand{\fillinmath}[1]{\mathchoice{\colorbox{fillinmathshade}{$\displaystyle \phantom{\,#1\,}$}}{\colorbox{fillinmathshade}{$\textstyle \phantom{\,#1\,}$}}{\colorbox{fillinmathshade}{$\scriptstyle \phantom{\,#1\,}$}}{\colorbox{fillinmathshade}{$\scriptscriptstyle\phantom{\,#1\,}$}}}
\)
Section 1.14 Homework 14 -- Binary Trees
Exercises Exercises
1.
2.
3.
Which of the following statements is true about this tree?
This is a binary tree of depth 4.
This is a binary tree of depth 5.
This is NOT a binary tree.
4.
Which answer gives correct
preorder traversal for the subtree rooted at "ontario"?
ontario, winnipeg, vostok, ladoga, taymyr
winnipeg, ontario, ladoga, vostok, taymyr
winnipeg, ladoga, taymyr, vostok, ontario
ontario, vostok, ladoga, taymyr, winnipeg
5.
Which answer gives correct
inorder traversal for the subtree rooted at "ontario"?
ontario, winnipeg, vostok, ladoga, taymyr
winnipeg, ontario, ladoga, vostok, taymyr
winnipeg, ladoga, taymyr, vostok, ontario
ladoga, ontario, taymyr, vostok,Β winnipeg
6.
Which answer gives correct
postorder traversal for the subtree rooted at "ontario"?
ontario, winnipeg, vostok, ladoga, taymyr
winnipeg, ontario, ladoga, vostok, taymyr
winnipeg, ladoga, taymyr, vostok, ontario
winnipeg, vostok, taymyr, ontario, ladoga
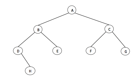
7.
Assume that the tree below represents a binary search tree (BST), but that the type of data stored in the BST is unknown. Which node in the tree will contain the minimum value?
Note: A, B, ... are not data values stored in the nodes, they are simply
labels for the nodes.
8.
Assume that the tree below represents a binary search tree (BST), but that the type of data stored in the BST is unknown. Which node in the tree will contain the maximum value?
You have attempted
of
activities on this page.